Los siguientes teoremas, atribuidos a Joseph Louis Lagrange, se conocen con la denominación Teorema de Lagrange:
- Teorema de Lagrange (teoría de grupos), teorema que relaciona el orden de un grupo finito (su número de elementos) con el orden de cualquiera de sus subgrupos.
- Teorema de Lagrange (teoría de números), permite expresar la solución general de la ecuación diofántica 61x2 1 = y2 (solución propuesta por Joseph-Louis de Lagrange en 1767).
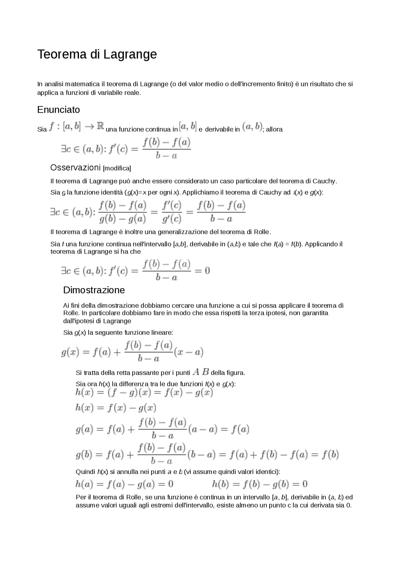
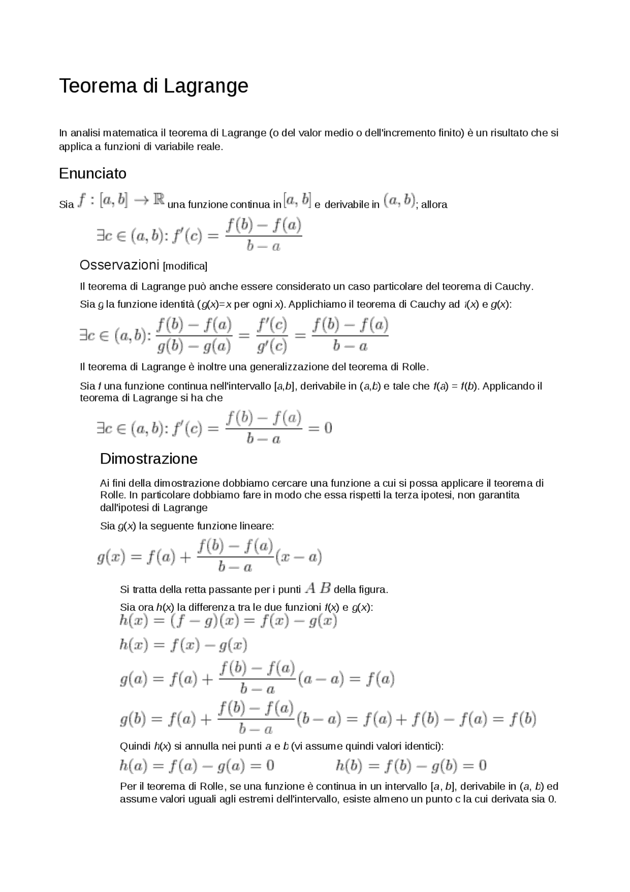
- Teorema de Lagrange, también conocido como teorema del valor medio, o teorema de los incrementos finitos, o teorema de Bonnet-Lagrange, teorema fundamental del cálculo integral, que señala las propiedades de las funciones derivables en un determinado intervalo (resultado teórico muy importante, pues es usado muy reiteradamente para demostrar otros teoremas).
- Teorema de los cuatro cuadrados de Lagrange, también conocido como la conjetura de Bachet, y que Joseph Louis Lagrange demostró en 1770.


